你好,我是陈航。
Flutter是什么?它出现的动机是什么,解决了哪些痛点?相比其他跨平台技术,Flutter的优势在哪里?……相信很多人在第一眼看到Flutter时,都会有类似的疑问。
别急,在今天的这篇文章中,我会与你介绍Flutter的历史背景和运行机制,并以界面渲染过程为例与你讲述其实现原理,让你对Flutter能够有一个全方位的认知和感受。在对Flutter有了全面了解后,这些疑问自然也就迎刃而解了。
接下来,我们就从Flutter出现的历史背景开始谈起吧。
为不同的操作系统开发拥有相同功能的应用程序,开发人员只有两个选择:
原生开发方式的体验最好,但研发效率和研发成本相对较高;而跨平台开发方式研发虽然效率高,但为了抹平多端平台差异,各类解决方案暴露的组件和API较原生开发相比少很多,因此研发体验和产品功能并不完美。
所以,最成功的跨平台开发方案其实是依托于浏览器控件的Web。浏览器保证了99%的概率下Web的需求都是可以实现的,不需要业务将就“技术”。不过,Web最大的问题在于它的性能和体验与原生开发存在肉眼可感知的差异,因此并不适用于对体验要求较高的场景。
对于用户体验更接近于原生的React Native,对业务的支持能力却还不到浏览器的5%,仅适用于中低复杂度的低交互类页面。面对稍微复杂一点儿的交互和动画需求,开发者都需要case by case地去review,甚至还可能要通过原生代码去扩展才能实现。
这些因素,也就导致了虽然跨平台开发从移动端诞生之初就已经被多次提及,但到现在也没有被很好地解决。
带着这些问题,我们终于迎来了本次专栏的主角——Flutter。
Flutter是构建Google物联网操作系统Fuchsia的SDK,主打跨平台、高保真、高性能。开发者可以通过 Dart语言开发App,一套代码可以同时运行在 iOS 和 Android平台。 Flutter使用Native引擎渲染视图,并提供了丰富的组件和接口,这无疑为开发者和用户都提供了良好的体验。
从2017年5月,谷歌公司发布的了Alpha版本的Flutter,到2018年底Flutter Live发布的1.0版本,再到现在最新的1.5版本(截止至2019年7月1日),Flutter正在赢得越来越多的关注。
很多人开始感慨,跨平台技术似乎终于迎来了最佳解决方案。那么,接下来我们就从原理层面去看看,Flutter是如何解决既有跨平台开发方案问题的。
与用于构建移动应用程序的其他大多数框架不同,Flutter是重写了一整套包括底层渲染逻辑和上层开发语言的完整解决方案。这样不仅可以保证视图渲染在Android和iOS上的高度一致性(即高保真),在代码执行效率和渲染性能上也可以媲美原生App的体验(即高性能)。
这,就是Flutter和其他跨平台方案的本质区别:
那么,Flutter是怎么完成组件渲染的呢?这需要从图像显示的基本原理说起。
在计算机系统中,图像的显示需要CPU、GPU和显示器一起配合完成:CPU负责图像数据计算,GPU负责图像数据渲染,而显示器则负责最终图像显示。
CPU把计算好的、需要显示的内容交给GPU,由GPU完成渲染后放入帧缓冲区,随后视频控制器根据垂直同步信号(VSync)以每秒60次的速度,从帧缓冲区读取帧数据交由显示器完成图像显示。
操作系统在呈现图像时遵循了这种机制,而Flutter作为跨平台开发框架也采用了这种底层方案。下面有一张更为详尽的示意图来解释Flutter的绘制原理。

图1 Flutter绘制原理
可以看到,Flutter关注如何尽可能快地在两个硬件时钟的VSync信号之间计算并合成视图数据,然后通过Skia交给GPU渲染:UI线程使用Dart来构建视图结构数据,这些数据会在GPU线程进行图层合成,随后交给Skia引擎加工成GPU数据,而这些数据会通过OpenGL最终提供给GPU渲染。
在进一步学习Flutter之前,我们有必要了解下构建Flutter的关键技术,即Skia和Dart。
要想了解Flutter,你必须先了解它的底层图像渲染引擎Skia。因为,Flutter只关心如何向GPU提供视图数据,而Skia就是它向GPU提供视图数据的好帮手。
Skia是一款用C++开发的、性能彪悍的2D图像绘制引擎,其前身是一个向量绘图软件。2005年被Google公司收购后,因为其出色的绘制表现被广泛应用在Chrome和Android等核心产品上。Skia在图形转换、文字渲染、位图渲染方面都表现卓越,并提供了开发者友好的API。
因此,架构于Skia之上的Flutter,也因此拥有了彻底的跨平台渲染能力。通过与Skia的深度定制及优化,Flutter可以最大限度地抹平平台差异,提高渲染效率与性能。
底层渲染能力统一了,上层开发接口和功能体验也就随即统一了,开发者再也不用操心平台相关的渲染特性了。也就是说,Skia保证了同一套代码调用在Android和iOS平台上的渲染效果是完全一致的。
除了我们在第2篇预习文章“预习篇 · Dart语言概览”中提到的,Dart因为同时支持AOT和JIT,所以具有运行速度快、执行性能好的特点外,Flutter为什么选择了Dart,而不是前端应用的准官方语言JavaScript呢?这个问题很有意思,但也很有争议。
很多人说,选择Dart是Flutter推广的一大劣势,毕竟多学一门新语言就多一层障碍。想想Java对Android,JavaScript对NodeJS的推动,如果换个语言可能就不一样了。
但,Google公司给出的原因很简单也很直接:Dart语言开发组就在隔壁,对于Flutter需要的一些语言新特性,能够快速在语法层面落地实现;而如果选择了JavaScript,就必须经过各种委员会和浏览器提供商漫长的决议。
事实上,Flutter的确得到了兄弟团队的紧密支持。2018年2月发布的Dart 2.0,2018年12月发布的Dart 2.1,2019年2月发布的Dart 2.2,2019年5月发布的Dart2.3,每次发布都包含了为Flutter量身定制的诸多改造(比如,改进的AOT性能、更智能的类型隐式转换等)。
当然,Google公司选择使用Dart作为Flutter的开发语言,我想还有其他更有说服力的理由:
Dart是一门优秀的现代语言,最初设计也是为了取代JavaScript成为Web开发的官方语言。竞争对手如此强劲,最后的结果可想而知。这,也是为什么相比于其他热门语言,Dart的生态要冷清不少的原因。
而随着Flutter的发布,Dart开始转型,其自身定位也发生了变化,专注于改善构建客户端应用程序的体验,因此越来越多的开发者开始慢慢了解、学习这门语言,并共同完善它的生态。凭借着Flutter的火热势头,辅以Google强大的商业运作能力,相信转型后的Dart前景会非常光明。
在了解了Flutter的基本运作机制后,我们再来深入了解一下Flutter的实现原理。
首先,我们来看一下Flutter的架构图。我希望通过这张图以及对应的解读,你能在开始学习的时候就建立起对Flutter的整体印象,能够从框架设计和实现原理的高度去理解Flutter区别其他跨平台解决方案的关键所在,为后面的学习打好基础,而不是直接一上来就陷入语言和框架的功能细节“泥潭”而无法自拔。

图2 Flutter架构图
备注:此图引自Flutter System Overview
Flutter架构采用分层设计,从下到上分为三层,依次为:Embedder、Engine、Framework。
接下来,我以界面渲染过程为例,和你介绍Flutter是如何工作的。
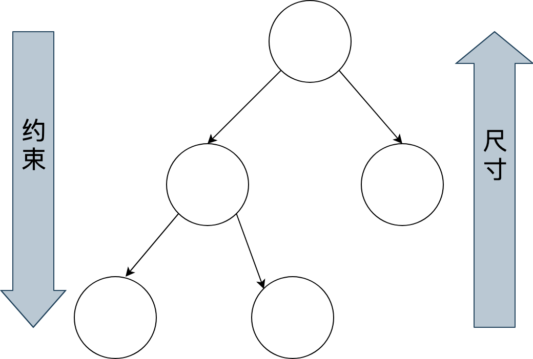
页面中的各界面元素(Widget)以树的形式组织,即控件树。Flutter通过控件树中的每个控件创建不同类型的渲染对象,组成渲染对象树。而渲染对象树在Flutter的展示过程分为四个阶段:布局、绘制、合成和渲染。
Flutter采用深度优先机制遍历渲染对象树,决定渲染对象树中各渲染对象在屏幕上的位置和尺寸。在布局过程中,渲染对象树中的每个渲染对象都会接收父对象的布局约束参数,决定自己的大小,然后父对象按照控件逻辑决定各个子对象的位置,完成布局过程。

图3 Flutter布局过程
为了防止因子节点发生变化而导致整个控件树重新布局,Flutter加入了一个机制——布局边界(Relayout Boundary),可以在某些节点自动或手动地设置布局边界,当边界内的任何对象发生重新布局时,不会影响边界外的对象,反之亦然。

图4 Flutter布局边界
布局完成后,渲染对象树中的每个节点都有了明确的尺寸和位置。Flutter会把所有的渲染对象绘制到不同的图层上。与布局过程一样,绘制过程也是深度优先遍历,而且总是先绘制自身,再绘制子节点。
以下图为例:节点1在绘制完自身后,会再绘制节点2,然后绘制它的子节点3、4和5,最后绘制节点6。

图5 Flutter 绘制示例
可以看到,由于一些其他原因(比如,视图手动合并)导致2的子节点5与它的兄弟节点6处于了同一层,这样会导致当节点2需要重绘的时候,与其无关的节点6也会被重绘,带来性能损耗。
为了解决这一问题,Flutter提出了与布局边界对应的机制——重绘边界(Repaint Boundary)。在重绘边界内,Flutter会强制切换新的图层,这样就可以避免边界内外的互相影响,避免无关内容置于同一图层引起不必要的重绘。

图6 Flutter重绘边界
重绘边界的一个典型场景是Scrollview。ScrollView滚动的时候需要刷新视图内容,从而触发内容重绘。而当滚动内容重绘时,一般情况下其他内容是不需要重绘的,这时候重绘边界就派上用场了。
终端设备的页面越来越复杂,因此Flutter的渲染树层级通常很多,直接交付给渲染引擎进行多图层渲染,可能会出现大量渲染内容的重复绘制,所以还需要先进行一次图层合成,即将所有的图层根据大小、层级、透明度等规则计算出最终的显示效果,将相同的图层归类合并,简化渲染树,提高渲染效率。
合并完成后,Flutter会将几何图层数据交由Skia引擎加工成二维图像数据,最终交由GPU进行渲染,完成界面的展示。这部分内容,我已经在前面的内容中介绍过,这里就不再赘述了。
接下来,我们再看看学习Flutter,都需要学习哪些知识。
终端设备越来越碎片化,需要支持的操作系统越来越多,从研发效率和维护成本综合考虑,跨平台开发一定是未来大前端的趋势,我们应该拥抱变化。而Flutter提供了一套彻底的移动跨平台方案,也确实弥补了如今跨平台开发框架的短板,解决了业界痛点,极有可能成为跨平台开发领域的终极解决方案,前途非常光明。
那么,我们学习Flutter都需要掌握哪些知识呢?
我按照App的开发流程(开发、调试测试、发布与线上运维)将Flutter的技术栈进行了划分,里面几乎包含了Flutter开发需要的所有知识点。而这些所有知识点,我会在专栏中为你一一讲解。掌握了这些知识点后,你也就具备了企业级应用开发的必要技能。
这些知识点,如下图所示:

图7 Flutter知识体系
有了这张图,你是否感觉到学习Flutter的路线变得更加清晰了呢?
今天,我带你了解了Flutter的历史背景与运行机制,并以界面渲染过程为例,从布局、绘制、合成和渲染四个阶段讲述了Flutter的实现原理。此外,我向你介绍了构建Flutter底层的关键技术:Skia与Dart,它们是Flutter有别于其他跨平台开发方案的核心所在。
最后,我梳理了一张Flutter学习思维导图,围绕一个应用的迭代周期介绍了Flutter相关的知识点。我希望通过这个专栏,能和你把Flutter背后的设计原理和知识体系讲清楚,让你能对Flutter有一个整体感知。这样,在你学完这个专栏以后,就能够具备企业级应用开发的理论基础与实践。
你是如何理解Flutter的三大特点:跨平台、高保真、高性能的?你又打算怎么学习这个专栏呢?
欢迎你在评论区给我留言分享你的观点,我会在下一篇文章中等待你!感谢你的收听,也欢迎你把这篇文章分享给更多的朋友一起阅读。
© 2019 - 2023 Liangliang Lee. Powered by gin and hexo-theme-book.